ОТВЕТ на задание № 728 Учебник по Алгебре 8 класс Макарычев
Учебник
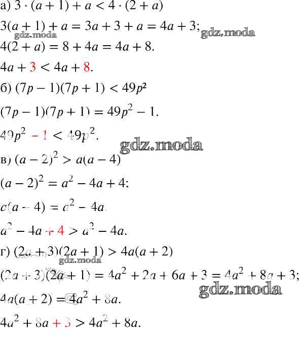
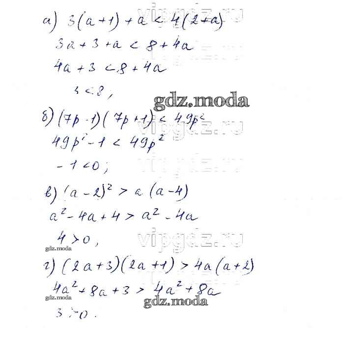
упражнение / 728

Решебник №1
упражнение / 728

Решебник №2
упражнение / 728

Решебник №3
упражнение / 728


Решебник №4
упражнение / 728

Решебник №5
упражнение / 728

Решебник №7
упражнение / 728
