ОТВЕТ на задание № 74 Учебник по Алгебре 8 класс Макарычев
Учебник
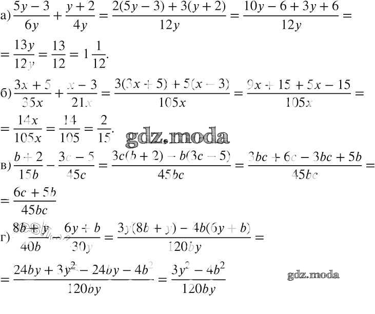
упражнение / 74

Решебник №1
упражнение / 74

Решебник №2
упражнение / 74

Решебник №3
упражнение / 74


Решебник №4
упражнение / 74



Решебник №5
упражнение / 74

Решебник №6
упражнение / 74

Решебник №7
упражнение / 74
