ОТВЕТ на задание № 744 Учебник по Алгебре 8 класс Макарычев
Учебник
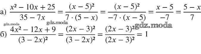
упражнение / 744

Решебник №1
упражнение / 744

Решебник №2
упражнение / 744

Решебник №3
упражнение / 744

Решебник №4
упражнение / 744

Решебник №5
упражнение / 744

Решебник №7
упражнение / 744
