ОТВЕТ на задание № 752 Учебник по Алгебре 8 класс Макарычев
Учебник
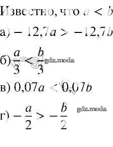
упражнение / 752

Решебник №1
упражнение / 752

Решебник №2
упражнение / 752

Решебник №3
упражнение / 752

Решебник №4
упражнение / 752

Решебник №5
упражнение / 752

Решебник №7
упражнение / 752
