ОТВЕТ на задание № 764 Учебник по Алгебре 8 класс Макарычев
Учебник
упражнение / 764

Решебник №1
упражнение / 764

Решебник №2
упражнение / 764

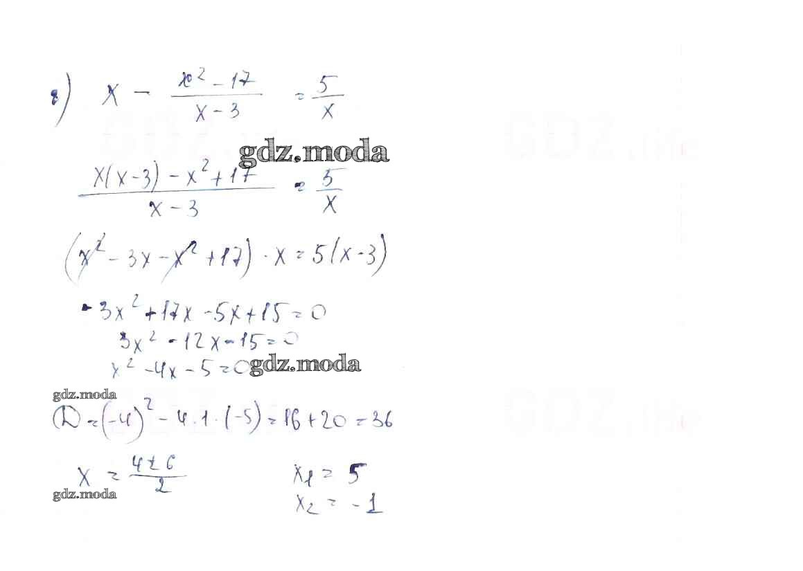
Решебник №3
упражнение / 764


Решебник №4
упражнение / 764



Решебник №5
упражнение / 764

Решебник №7
упражнение / 764
