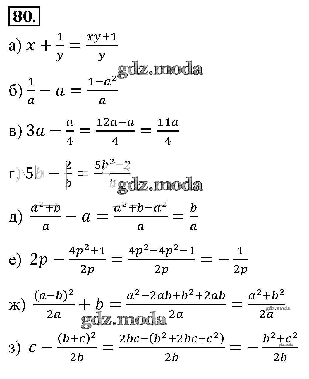
ОТВЕТ на задание № 80 Учебник по Алгебре 8 класс Макарычев
Учебник
упражнение / 80

Решебник №1
упражнение / 80

Решебник №2
упражнение / 80

Решебник №3
упражнение / 80

Решебник №4
упражнение / 80


Решебник №5
упражнение / 80

Решебник №6
упражнение / 80

Решебник №7
упражнение / 80
