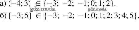
ОТВЕТ на задание № 821 Учебник по Алгебре 8 класс Макарычев
Учебник
упражнение / 821

Решебник №1
упражнение / 821

Решебник №2
упражнение / 821

Решебник №3
упражнение / 821

Решебник №4
упражнение / 821

Решебник №5
упражнение / 821

Решебник №7
упражнение / 821
