ОТВЕТ на задание № 856 Учебник по Алгебре 8 класс Макарычев
Учебник
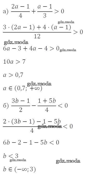
упражнение / 856

Решебник №1
упражнение / 856

Решебник №2
упражнение / 856

Решебник №3
упражнение / 856

Решебник №4
упражнение / 856

Решебник №5
упражнение / 856

Решебник №7
упражнение / 856
