ОТВЕТ на задание № 882 Учебник по Алгебре 8 класс Макарычев
Учебник
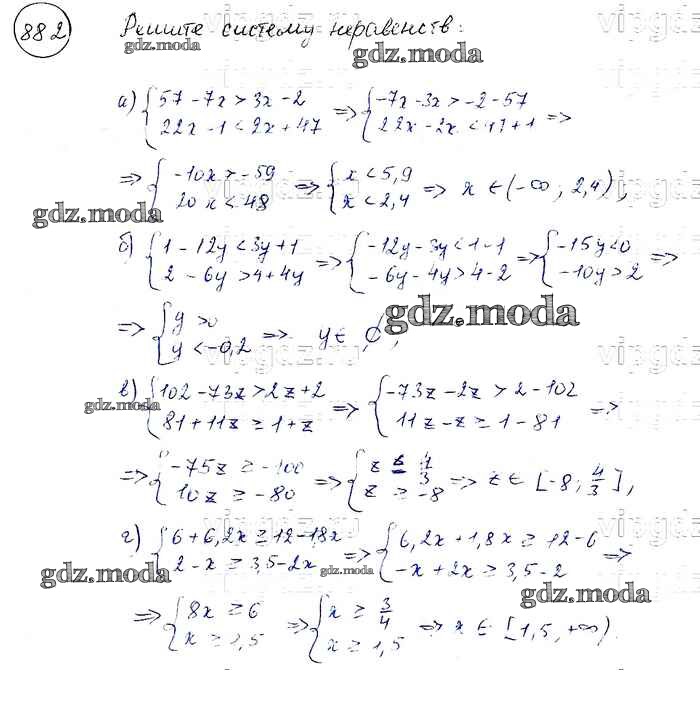
упражнение / 882

Решебник №1
упражнение / 882

Решебник №2
упражнение / 882

Решебник №3
упражнение / 882

Решебник №4
упражнение / 882



Решебник №5
упражнение / 882

Решебник №7
упражнение / 882
