ОТВЕТ на задание № 894 Учебник по Алгебре 8 класс Макарычев
Учебник
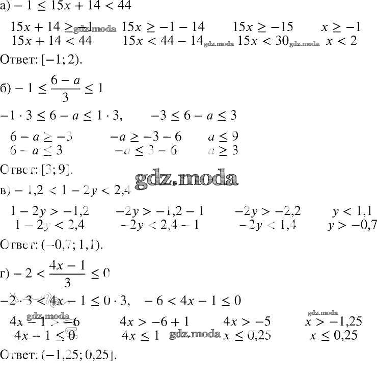
упражнение / 894

Решебник №1
упражнение / 894

Решебник №2
упражнение / 894

Решебник №3
упражнение / 894

Решебник №4
упражнение / 894


Решебник №5
упражнение / 894

Решебник №7
упражнение / 894
