ОТВЕТ на задание № 915 Учебник по Алгебре 8 класс Макарычев
Учебник
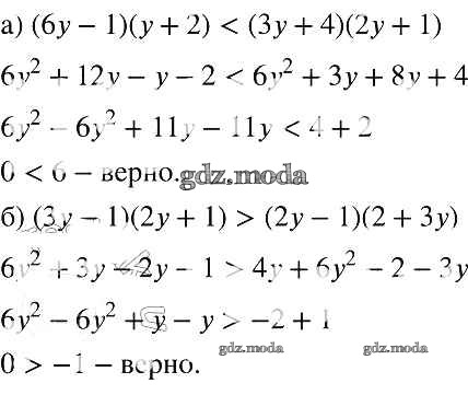
упражнение / 915

Решебник №1
упражнение / 915

Решебник №2
упражнение / 915

Решебник №3
упражнение / 915

Решебник №4
упражнение / 915


Решебник №5
упражнение / 915

Решебник №7
упражнение / 915
