ОТВЕТ на задание № 919 Учебник по Алгебре 8 класс Макарычев
Учебник
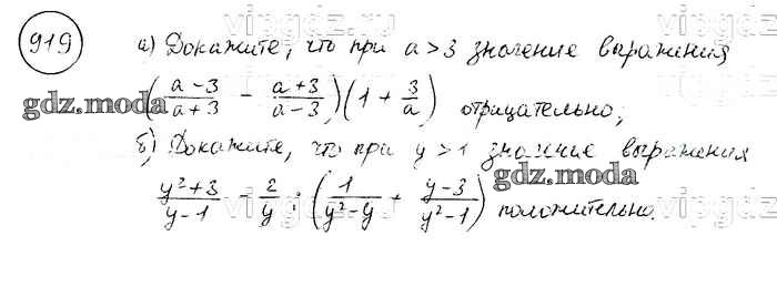
упражнение / 919

Решебник №1
упражнение / 919

Решебник №2
упражнение / 919


Решебник №3
упражнение / 919


Решебник №4
упражнение / 919


Решебник №5
упражнение / 919

Решебник №7
упражнение / 919
