ОТВЕТ на задание № 929 Учебник по Алгебре 8 класс Макарычев
Учебник
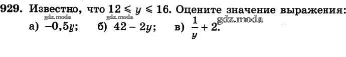
упражнение / 929

Решебник №1
упражнение / 929

Решебник №2
упражнение / 929

Решебник №3
упражнение / 929

Решебник №4
упражнение / 929

Решебник №5
упражнение / 929

Решебник №7
упражнение / 929
