ОТВЕТ на задание № 936 Учебник по Алгебре 8 класс Макарычев
Учебник
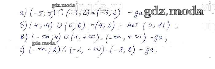
упражнение / 936

Решебник №1
упражнение / 936

Решебник №2
упражнение / 936

Решебник №3
упражнение / 936


Решебник №4
упражнение / 936

Решебник №5
упражнение / 936

Решебник №7
упражнение / 936
