ОТВЕТ на задание № 954 Учебник по Алгебре 8 класс Макарычев
Учебник
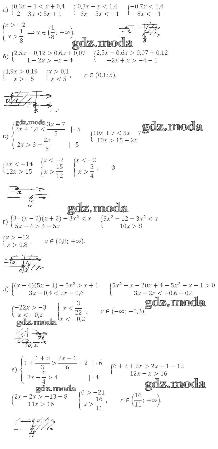
упражнение / 954

Решебник №1
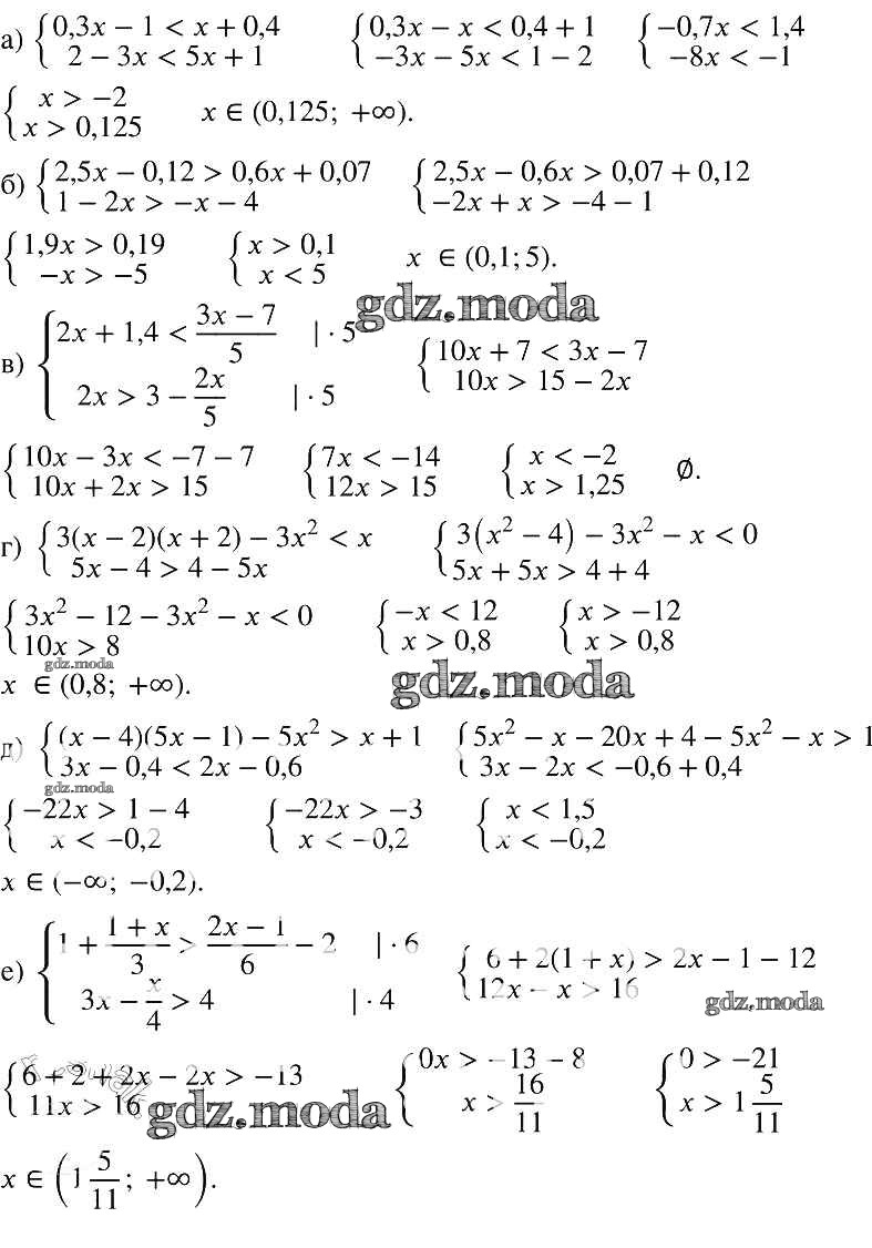
упражнение / 954

Решебник №2
упражнение / 954

Решебник №3
упражнение / 954

Решебник №4
упражнение / 954


Решебник №5
упражнение / 954

Решебник №7
упражнение / 954
