ОТВЕТ на задание № 959 Учебник по Алгебре 8 класс Макарычев
Учебник
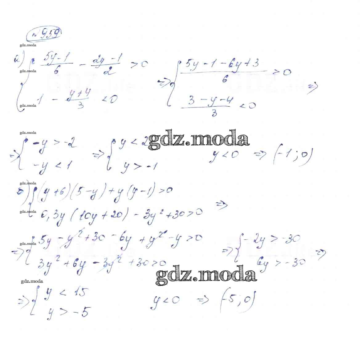
упражнение / 959

Решебник №1
упражнение / 959

Решебник №2
упражнение / 959

Решебник №3
упражнение / 959

Решебник №4
упражнение / 959

Решебник №5
упражнение / 959

Решебник №7
упражнение / 959
