ОТВЕТ на задание № 969 Учебник по Алгебре 8 класс Макарычев
Учебник
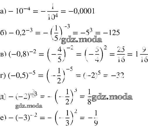
упражнение / 969

Решебник №1
упражнение / 969

Решебник №2
упражнение / 969

Решебник №3
упражнение / 969

Решебник №4
упражнение / 969


Решебник №5
упражнение / 969

Решебник №7
упражнение / 969
