ОТВЕТ на задание № 976 Учебник по Алгебре 8 класс Макарычев
Учебник
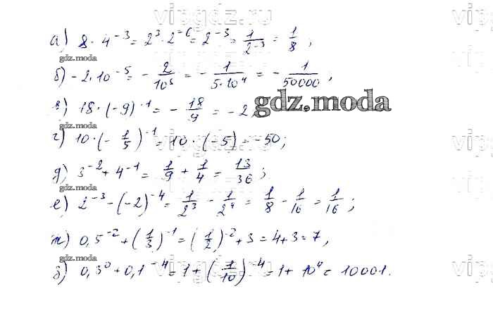
упражнение / 976

Решебник №1
упражнение / 976

Решебник №2
упражнение / 976

Решебник №3
упражнение / 976


Решебник №4
упражнение / 976


Решебник №5
упражнение / 976

Решебник №7
упражнение / 976
