ОТВЕТ на задание № 978 Учебник по Алгебре 8 класс Макарычев
Учебник
упражнение / 978

Решебник №1
упражнение / 978

Решебник №2
упражнение / 978

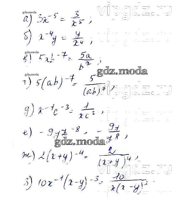
Решебник №3
упражнение / 978


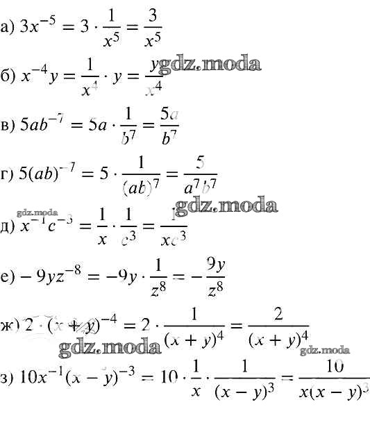
Решебник №4
упражнение / 978

Решебник №5
упражнение / 978

Решебник №7
упражнение / 978
