ОТВЕТ на задание № 985 Учебник по Алгебре 8 класс Макарычев
Учебник
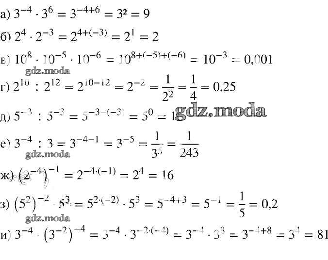
упражнение / 985

Решебник №1
упражнение / 985

Решебник №2
упражнение / 985

Решебник №3
упражнение / 985


Решебник №4
упражнение / 985

Решебник №5
упражнение / 985

Решебник №7
упражнение / 985
