ОТВЕТ на задание № 990 Учебник по Алгебре 8 класс Макарычев
Учебник
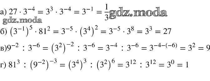
упражнение / 990

Решебник №1
упражнение / 990

Решебник №2
упражнение / 990

Решебник №3
упражнение / 990

Решебник №4
упражнение / 990


Решебник №5
упражнение / 990

Решебник №7
упражнение / 990
