ОТВЕТ на задание № 993 Учебник по Алгебре 8 класс Макарычев
Учебник
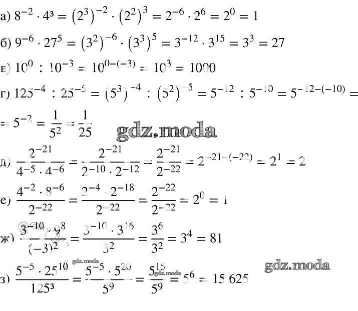
упражнение / 993

Решебник №1
упражнение / 993

Решебник №2
упражнение / 993

Решебник №3
упражнение / 993


Решебник №4
упражнение / 993


Решебник №5
упражнение / 993

Решебник №7
упражнение / 993
