ОТВЕТ на задание № 999 Учебник по Алгебре 8 класс Макарычев
Учебник
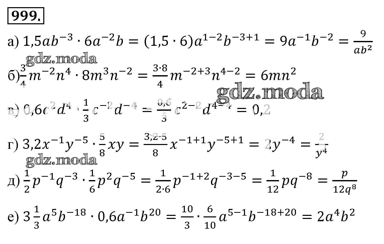
упражнение / 999

Решебник №1
упражнение / 999

Решебник №2
упражнение / 999

Решебник №3
упражнение / 999


Решебник №4
упражнение / 999

Решебник №5
упражнение / 999

Решебник №7
упражнение / 999
