ОТВЕТ на задание № 400 Учебник по Алгебре 8 класс Макарычев

Учебник

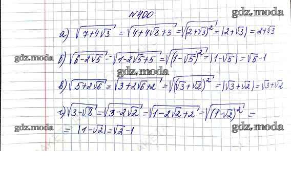
упражнение / 400

Решебник 2022

упражнение / 400

Решебник 2016 №1

упражнение / 400

Решебник 2016 №2

упражнение / 400

Решебник 2016 №3

упражнение / 400

Решебник 2016 №4

упражнение / 400

Решебник 2016 №5

упражнение / 400

Решебник 2016 №6

упражнение / 400

Решебник 2016 №7

упражнение / 400

ГДЗ решение к заданию № 400 Алгебра 8 класс Макарычев Ю.Н. Просвещение, Просвещение 2016, 2022 ФГОС бесплатно на гдз.мода!