Классы
1 класс
2 класс
3 класс
4 класс
5 класс
6 класс
7 класс
8 класс
9 класс
10 класс
11 класс
Предметы
Алгебра
Английский язык
Белорусский язык
Биология
География
Геометрия
Естествознание
Информатика
Искусство
История
Кубановедение
Литература
Математика
Музыка
Немецкий язык
ОБЖ
Обществознание
Окружающий мир
Основы здоровья
Природоведение
Русский язык
Технология
Украинский язык
Физика
Французский язык
Химия
Человек и мир
Я исследую мир
ГДЗ
8 класс
Алгебра
учебник Макарычев
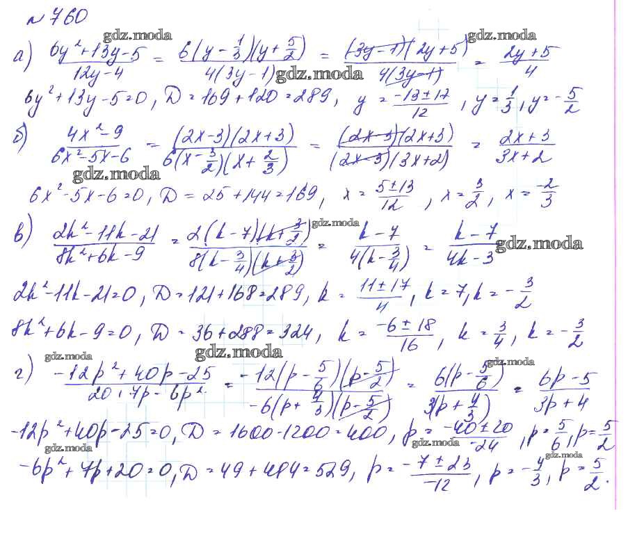
760
ОТВЕТ на задание № 760 Учебник по Алгебре 8 класс Макарычев Углубленный уровень
Показать содержание
← Предыдущее
Следующее →
Решебник
упражнение / 760
Показать содержание
← Предыдущее
Следующее →
ГДЗ решение к заданию № 760 Алгебра 8 класс Макарычев Ю.Н. Мнемозина 2014 Углубленный уровень ФГОС бесплатно на гдз.мода!