ОТВЕТ на задание № 135 Дидактические материалы по Алгебре 8 класс Мерзляк Алгоритм успеха
Решебник 1
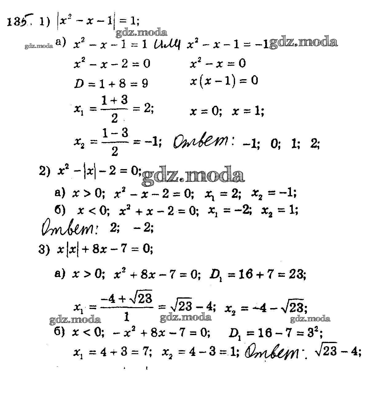
упражнение / вариант 1 / 135

Решебник 2
упражнение / вариант 1 / 135

Все ГДЗ по Алгебре 8 класс Алгоритм успеха
Все ГДЗ по Алгебре 8 класс Алгоритм успеха