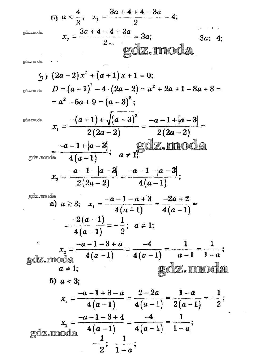
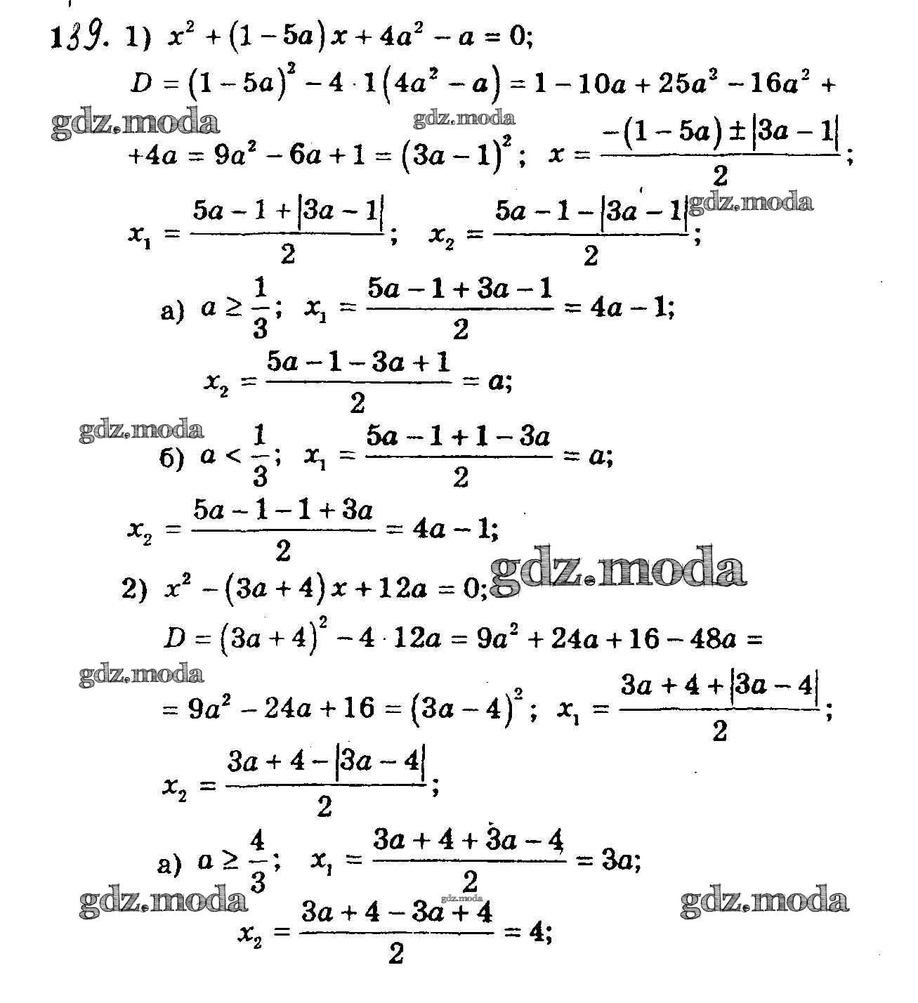
ОТВЕТ на задание № 139 Дидактические материалы по Алгебре 8 класс Мерзляк Алгоритм успеха
Решебник 1
упражнение / вариант 1 / 139

Решебник 2
упражнение / вариант 1 / 139


Все ГДЗ по Алгебре 8 класс Алгоритм успеха
Все ГДЗ по Алгебре 8 класс Алгоритм успеха