ОТВЕТ на задание № 159 Дидактические материалы по Алгебре 8 класс Мерзляк Алгоритм успеха
Решебник 1
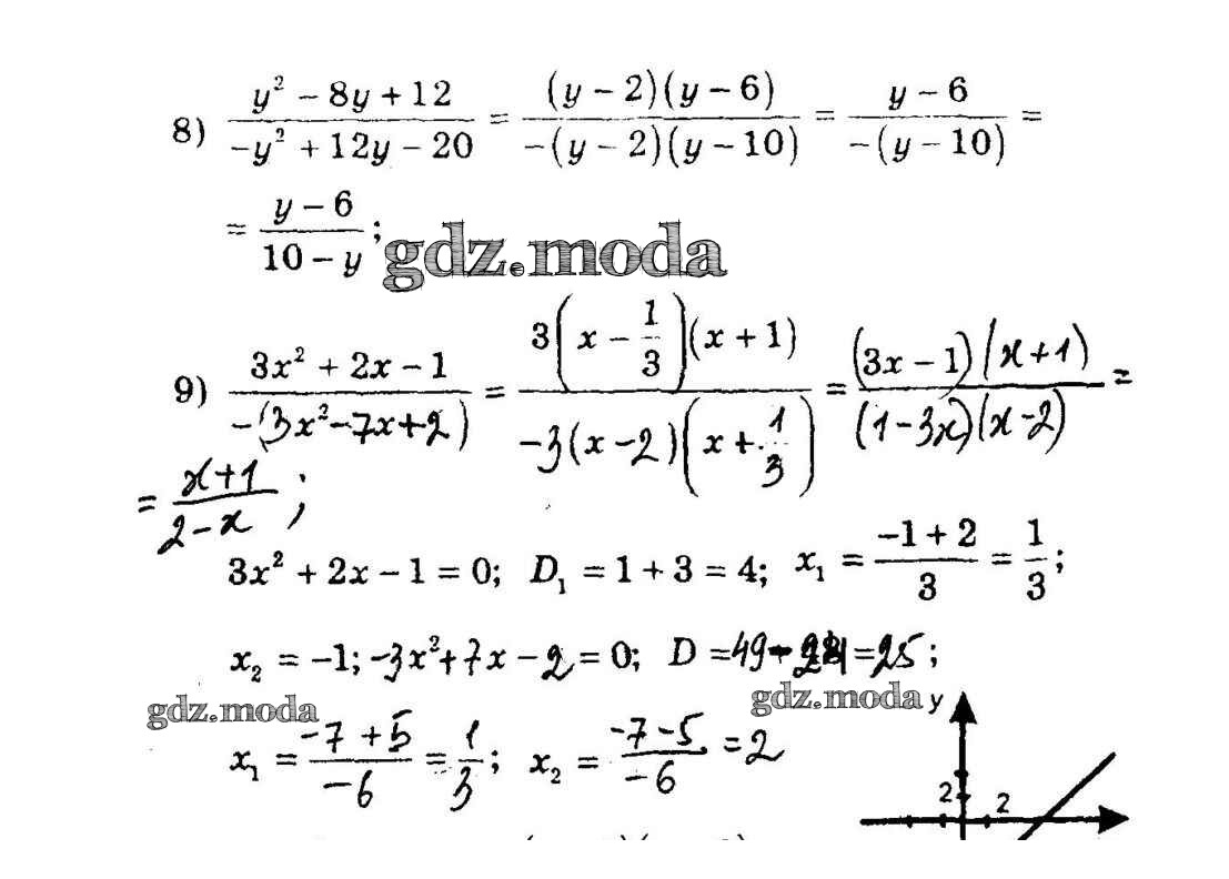
упражнение / вариант 1 / 159

Решебник 2
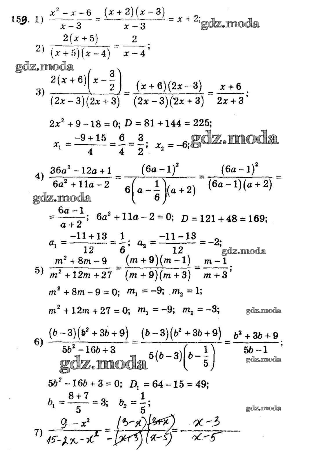
упражнение / вариант 1 / 159


Все ГДЗ по Алгебре 8 класс Алгоритм успеха
Все ГДЗ по Алгебре 8 класс Алгоритм успеха