ОТВЕТ на задание № 54 Дидактические материалы по Алгебре 8 класс Мерзляк Алгоритм успеха
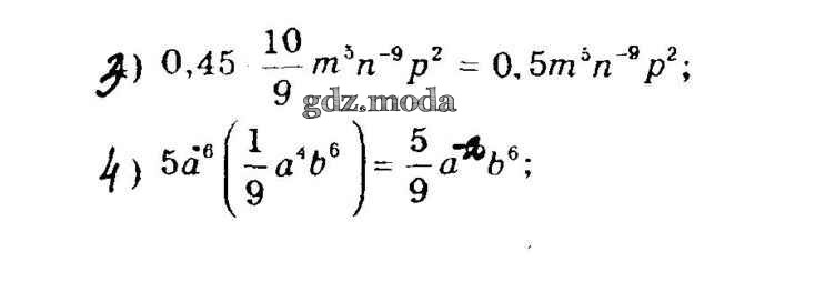
Решебник 1
упражнение / вариант 1 / 54

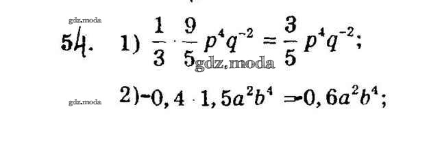
Решебник 2
упражнение / вариант 1 / 54


Все ГДЗ по Алгебре 8 класс Алгоритм успеха
Все ГДЗ по Алгебре 8 класс Алгоритм успеха