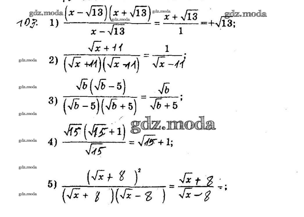
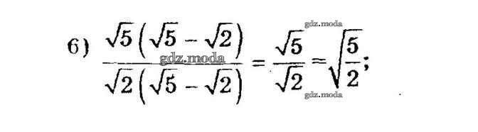
ОТВЕТ на задание № 103 Дидактические материалы по Алгебре 8 класс Мерзляк Алгоритм успеха
Решебник 1
упражнение / вариант 2 / 103

Решебник 2
упражнение / вариант 2 / 103


Все ГДЗ по Алгебре 8 класс Алгоритм успеха
Все ГДЗ по Алгебре 8 класс Алгоритм успеха