ОТВЕТ на задание № 128 Дидактические материалы по Алгебре 8 класс Мерзляк Алгоритм успеха
Решебник 1
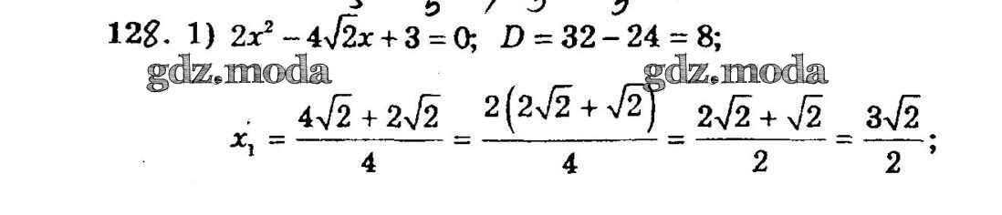
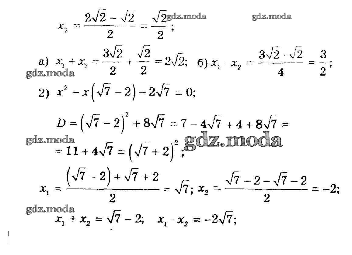
упражнение / вариант 2 / 128

Решебник 2
упражнение / вариант 2 / 128


Все ГДЗ по Алгебре 8 класс Алгоритм успеха
Все ГДЗ по Алгебре 8 класс Алгоритм успеха