ОТВЕТ на задание № 132 Дидактические материалы по Алгебре 8 класс Мерзляк Алгоритм успеха
Решебник 1
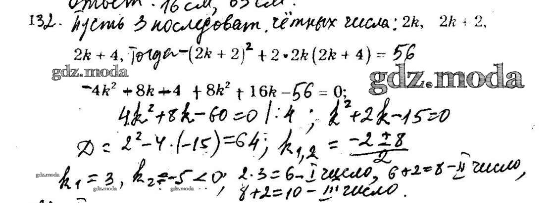
упражнение / вариант 2 / 132

Решебник 2
упражнение / вариант 2 / 132

Все ГДЗ по Алгебре 8 класс Алгоритм успеха
Все ГДЗ по Алгебре 8 класс Алгоритм успеха