ОТВЕТ на задание № 16 Дидактические материалы по Алгебре 8 класс Мерзляк Алгоритм успеха
Решебник 1
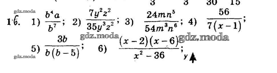
упражнение / вариант 2 / 16

Решебник 2
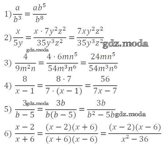
упражнение / вариант 2 / 16

Все ГДЗ по Алгебре 8 класс Алгоритм успеха
Все ГДЗ по Алгебре 8 класс Алгоритм успеха