Классы
1 класс
2 класс
3 класс
4 класс
5 класс
6 класс
7 класс
8 класс
9 класс
10 класс
11 класс
Предметы
Алгебра
Английский язык
Белорусский язык
Биология
География
Геометрия
Естествознание
Информатика
Искусство
История
Кубановедение
Литература
Математика
Музыка
Немецкий язык
ОБЖ
Обществознание
Окружающий мир
Основы здоровья
Природоведение
Русский язык
Технология
Украинский язык
Физика
Французский язык
Химия
Человек и мир
Я исследую мир
ГДЗ
8 класс
Алгебра
Дидактические материалы Мерзляк
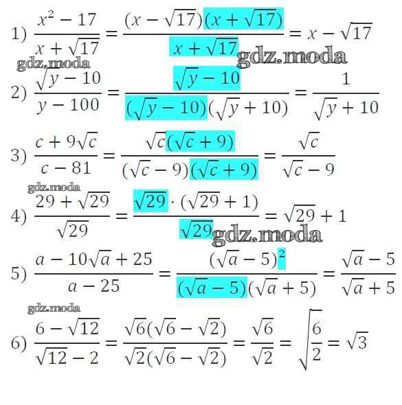
103
ОТВЕТ на задание № 103 Дидактические материалы по Алгебре 8 класс Мерзляк Алгоритм успеха
Показать содержание
← Предыдущее
Следующее →
Решебник 1
упражнение / вариант 3 / 103
Показать содержание
← Предыдущее
Следующее →
Все ГДЗ по
Алгебре 8 класс Алгоритм успеха
ГДЗ решение к заданию № 103 Алгебра 8 класс Дидактические материалы Мерзляк А.Г. Вентана-граф 2016 ФГОС бесплатно на гдз.мода!