ОТВЕТ на задание № 4 Задачник по Алгебре 8 класс Мишустина Базовый уровень

Условия

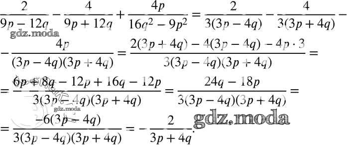
работа / глава 1. вариант / 1 / 4

Решебник 1

работа / глава 1. вариант / 1 / 4

Решебник 2

работа / глава 1. вариант / 1 / 4

ГДЗ решение к заданию № 4 Алгебра 8 класс задачник Базовый уровень Мордкович А.Г. Мнемозина 2015 Часть 2 Базовый уровень ФГОС бесплатно на гдз.мода!