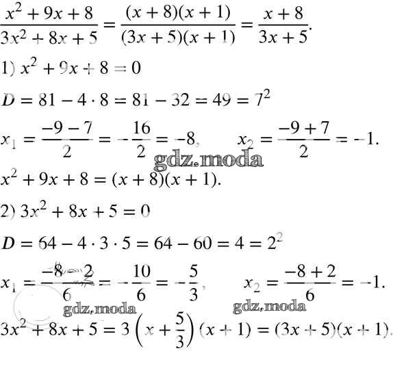
ОТВЕТ на задание № 1 Задачник по Алгебре 8 класс Мишустина Базовый уровень

Условия

работа / глава 4. вариант / 2 / 1

Решебник 1

работа / глава 4. вариант / 2 / 1

Решебник 2

работа / глава 4. вариант / 2 / 1

ГДЗ решение к заданию № 1 Алгебра 8 класс задачник Базовый уровень Мордкович А.Г. Мнемозина 2015 Часть 2 Базовый уровень ФГОС бесплатно на гдз.мода!