Классы
1 класс
2 класс
3 класс
4 класс
5 класс
6 класс
7 класс
8 класс
9 класс
10 класс
11 класс
Предметы
Алгебра
Английский язык
Белорусский язык
Биология
География
Геометрия
Естествознание
Информатика
Искусство
История
Кубановедение
Литература
Математика
Музыка
Немецкий язык
ОБЖ
Обществознание
Окружающий мир
Основы здоровья
Природоведение
Русский язык
Технология
Украинский язык
Физика
Французский язык
Химия
Человек и мир
Я исследую мир
ГДЗ
8 класс
Алгебра
задачник Мордкович
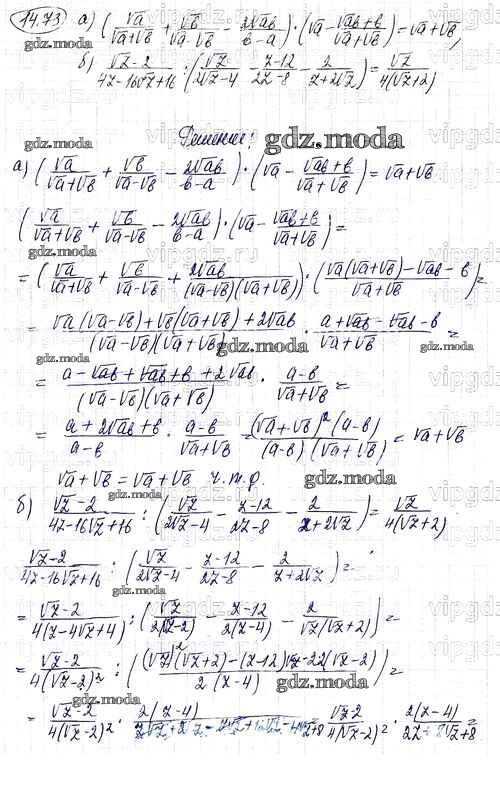
73
ОТВЕТ на задание № 73 Задачник по Алгебре 8 класс Мордкович УМК Углубленный уровень
Показать содержание
← Предыдущее
Следующее →
Решебник
параграф 14 / 73
Показать содержание
← Предыдущее
Следующее →
Все ГДЗ по
Алгебре 8 класс УМК
ГДЗ решение к заданию № 73 Алгебра 8 класс задачник Углубленный уровень Мордкович А.Г. Мнемозина 2016 Часть 1, Часть 2 Углубленный уровень ФГОС бесплатно на гдз.мода!