Классы
1 класс
2 класс
3 класс
4 класс
5 класс
6 класс
7 класс
8 класс
9 класс
10 класс
11 класс
Предметы
Алгебра
Английский язык
Белорусский язык
Биология
География
Геометрия
Естествознание
Информатика
Искусство
История
Кубановедение
Литература
Математика
Музыка
Немецкий язык
ОБЖ
Обществознание
Окружающий мир
Основы здоровья
Природоведение
Русский язык
Технология
Украинский язык
Физика
Французский язык
Химия
Человек и мир
Я исследую мир
ГДЗ
8 класс
Алгебра
Алимов
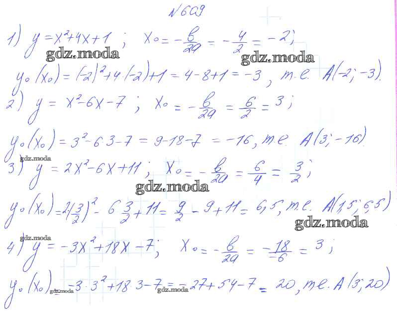
609
ОТВЕТ на задание № 609 Учебник по Алгебре 8 класс Алимов
Показать содержание
← Предыдущее
Следующее →
Решебник №1
упражнение / 609
Решебник №2
упражнение / 609
Показать содержание
← Предыдущее
Следующее →
ГДЗ решение к заданию № 609 Алгебра 8 класс Алимов Ш.А. Просвещение 2014 бесплатно на гдз.мода!