Классы
1 класс
2 класс
3 класс
4 класс
5 класс
6 класс
7 класс
8 класс
9 класс
10 класс
11 класс
Предметы
Алгебра
Английский язык
Белорусский язык
Биология
География
Геометрия
Естествознание
Информатика
Искусство
История
Кубановедение
Литература
Математика
Музыка
Немецкий язык
ОБЖ
Обществознание
Окружающий мир
Основы здоровья
Природоведение
Русский язык
Технология
Украинский язык
Физика
Французский язык
Химия
Человек и мир
Я исследую мир
ГДЗ
8 класс
Алгебра
учебник Колягин
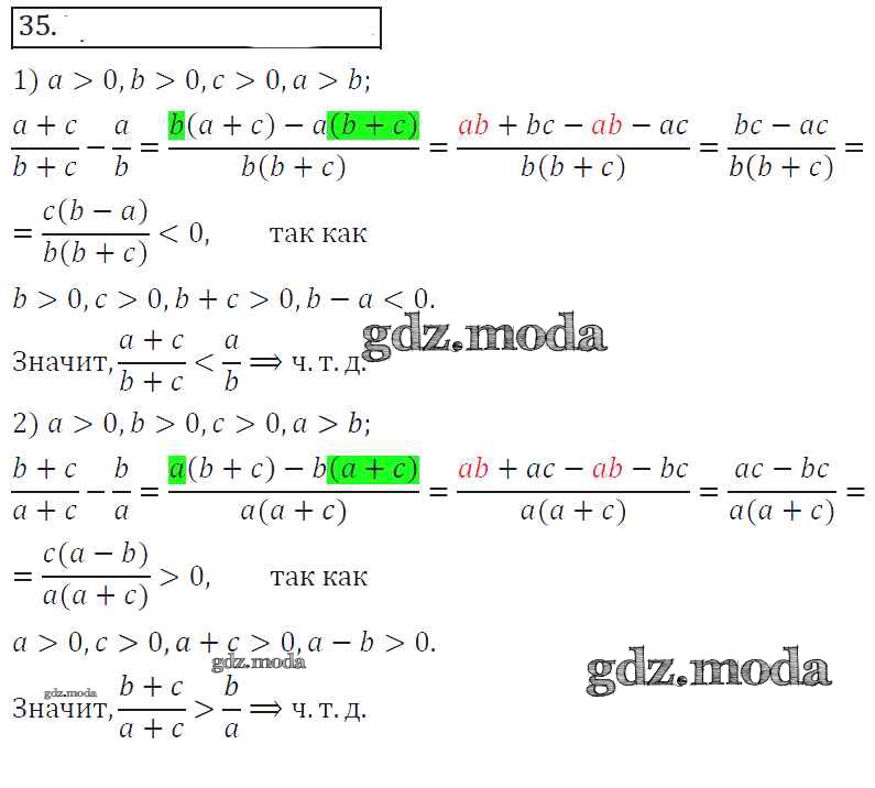
35
ОТВЕТ на задание № 35 Учебник по Алгебре 8 класс Колягин УМК
Показать содержание
← Предыдущее
Следующее →
Решебник
упражнение / 35
Показать содержание
← Предыдущее
Следующее →
Все ГДЗ по
Алгебре 8 класс УМК
ГДЗ решение к заданию № 35 Алгебра 8 класс Колягин Ю.М. Просвещение 2013 ФГОС бесплатно на гдз.мода!