Классы
1 класс
2 класс
3 класс
4 класс
5 класс
6 класс
7 класс
8 класс
9 класс
10 класс
11 класс
Предметы
Алгебра
Английский язык
Белорусский язык
Биология
География
Геометрия
Естествознание
Информатика
Искусство
История
Кубановедение
Литература
Математика
Музыка
Немецкий язык
ОБЖ
Обществознание
Окружающий мир
Основы здоровья
Природоведение
Русский язык
Технология
Украинский язык
Физика
Французский язык
Химия
Человек и мир
Я исследую мир
ГДЗ
8 класс
Алгебра
учебник Колягин
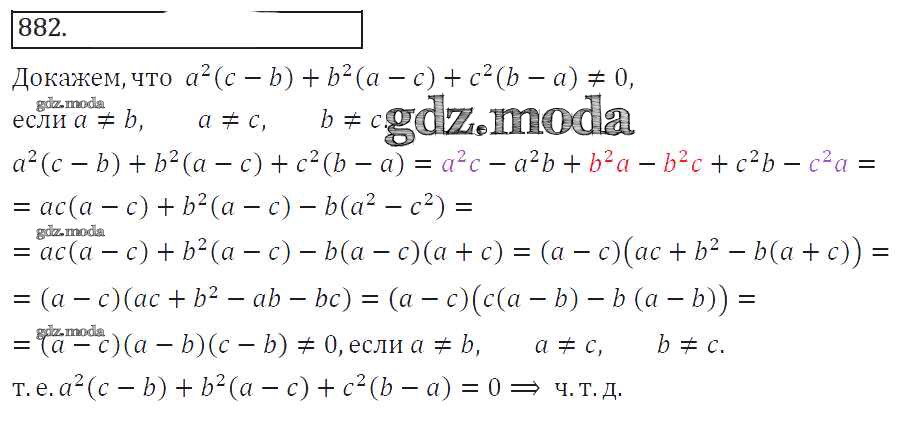
882
ОТВЕТ на задание № 882 Учебник по Алгебре 8 класс Колягин УМК
Показать содержание
← Предыдущее
Следующее →
Решебник
упражнение / 882
Показать содержание
← Предыдущее
Следующее →
Все ГДЗ по
Алгебре 8 класс УМК
ГДЗ решение к заданию № 882 Алгебра 8 класс Колягин Ю.М. Просвещение 2013 ФГОС бесплатно на гдз.мода!