ОТВЕТ на задание № 30 Учебник по Алгебре 8 класс Мерзляк Алгоритм успеха
Решебник №1
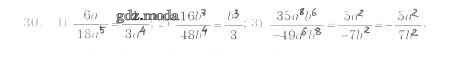
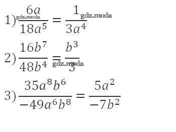
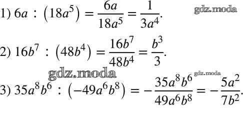
глава 1 / §2 / 30

Решебник №2
глава 1 / §2 / 30

Решебник №3
глава 1 / §2 / 30

Решебник №4
глава 1 / §2 / 30

Решебник №5
глава 1 / §2 / 30

Решебник №6
глава 1 / §2 / 30

Все ГДЗ по Алгебре 8 класс Алгоритм успеха