ОТВЕТ на задание № 34 Учебник по Алгебре 8 класс Мерзляк Алгоритм успеха
Решебник №1
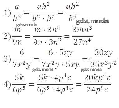
глава 1 / §2 / 34

Решебник №2
глава 1 / §2 / 34

Решебник №3
глава 1 / §2 / 34

Решебник №4
глава 1 / §2 / 34

Решебник №5
глава 1 / §2 / 34

Решебник №6
глава 1 / §2 / 34

Все ГДЗ по Алгебре 8 класс Алгоритм успеха