ОТВЕТ на задание № 47 Учебник по Алгебре 8 класс Мерзляк Алгоритм успеха
Решебник №1
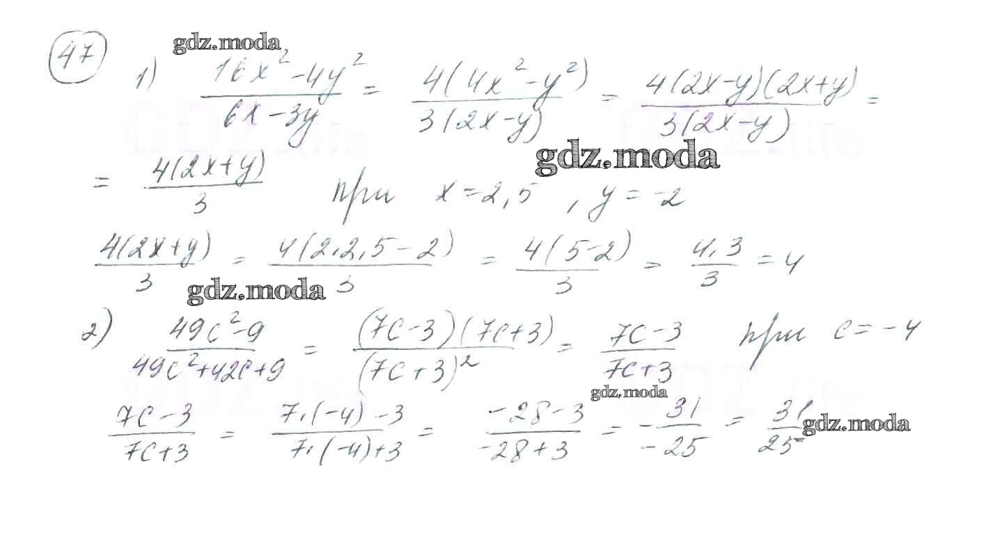
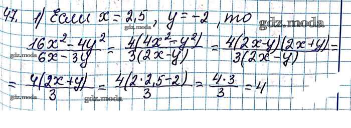
глава 1 / §2 / 47

Решебник №2
глава 1 / §2 / 47

Решебник №3
глава 1 / §2 / 47


Решебник №4
глава 1 / §2 / 47

Решебник №5
глава 1 / §2 / 47

Решебник №6
глава 1 / §2 / 47

Все ГДЗ по Алгебре 8 класс Алгоритм успеха