ОТВЕТ на задание № 51 Учебник по Алгебре 8 класс Мерзляк Алгоритм успеха
Решебник №1
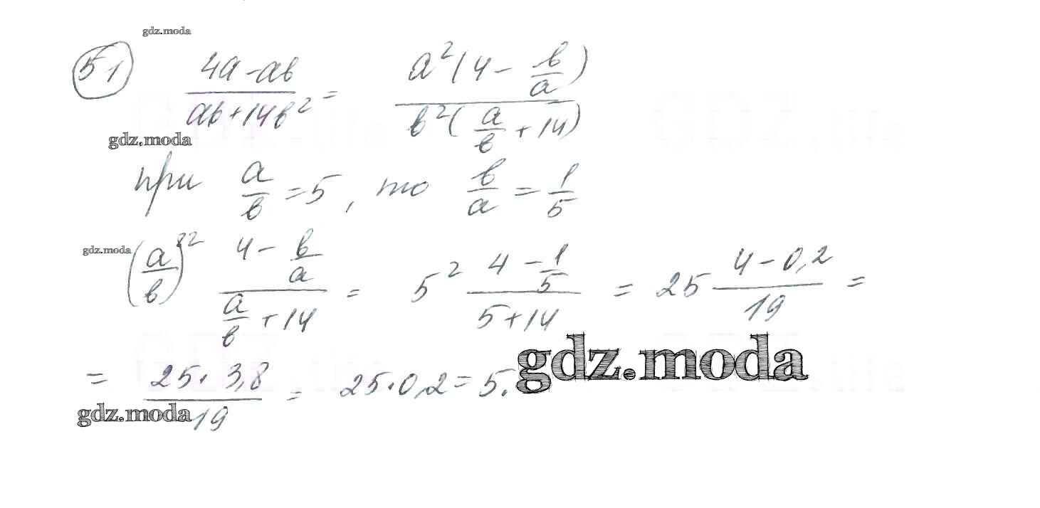
глава 1 / §2 / 51

Решебник №2
глава 1 / §2 / 51

Решебник №3
глава 1 / §2 / 51

Решебник №4
глава 1 / §2 / 51

Решебник №5
глава 1 / §2 / 51

Решебник №6
глава 1 / §2 / 51

Все ГДЗ по Алгебре 8 класс Алгоритм успеха