ОТВЕТ на задание № 53 Учебник по Алгебре 8 класс Мерзляк Алгоритм успеха
Решебник №1
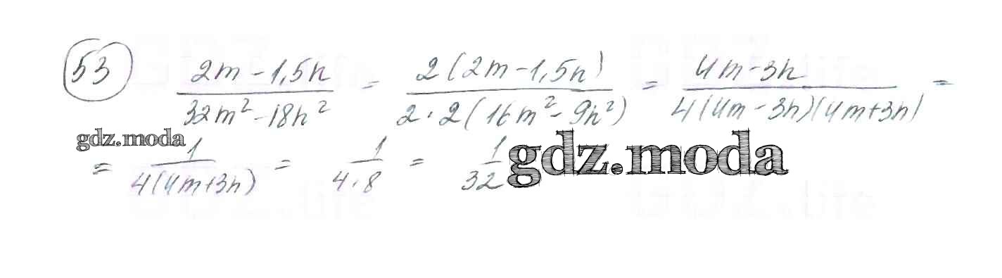
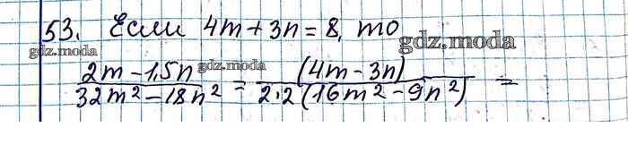
глава 1 / §2 / 53

Решебник №2
глава 1 / §2 / 53

Решебник №3
глава 1 / §2 / 53


Решебник №4
глава 1 / §2 / 53

Решебник №5
глава 1 / §2 / 53

Решебник №6
глава 1 / §2 / 53

Все ГДЗ по Алгебре 8 класс Алгоритм успеха