ОТВЕТ на задание № 71 Учебник по Алгебре 8 класс Мерзляк Алгоритм успеха
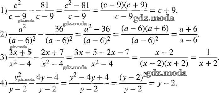
Решебник №1
глава 1 / §3 / 71

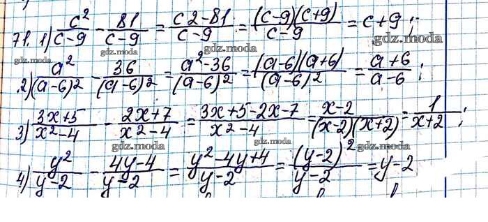
Решебник №2
глава 1 / §3 / 71

Решебник №3
глава 1 / §3 / 71

Решебник №4
глава 1 / §3 / 71

Решебник №5
глава 1 / §3 / 71

Решебник №6
глава 1 / §3 / 71

Все ГДЗ по Алгебре 8 класс Алгоритм успеха