ОТВЕТ на задание № 74 Учебник по Алгебре 8 класс Мерзляк Алгоритм успеха
Решебник №1
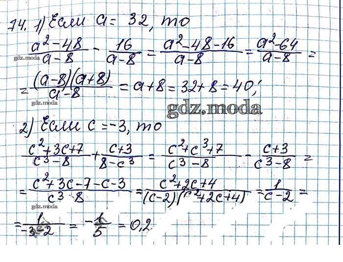
глава 1 / §3 / 74

Решебник №2
глава 1 / §3 / 74

Решебник №3
глава 1 / §3 / 74

Решебник №4
глава 1 / §3 / 74

Решебник №5
глава 1 / §3 / 74

Решебник №6
глава 1 / §3 / 74

Все ГДЗ по Алгебре 8 класс Алгоритм успеха