ОТВЕТ на задание № 96 Учебник по Алгебре 8 класс Мерзляк Алгоритм успеха
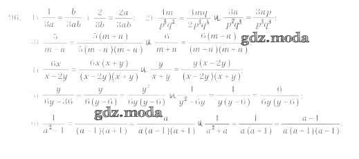
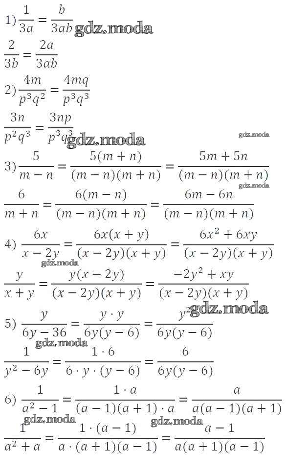
Решебник №1
глава 1 / §3 / 96

Решебник №2
глава 1 / §3 / 96

Решебник №3
глава 1 / §3 / 96


Решебник №4
глава 1 / §3 / 96

Решебник №5
глава 1 / §3 / 96

Решебник №6
глава 1 / §3 / 96


Все ГДЗ по Алгебре 8 класс Алгоритм успеха