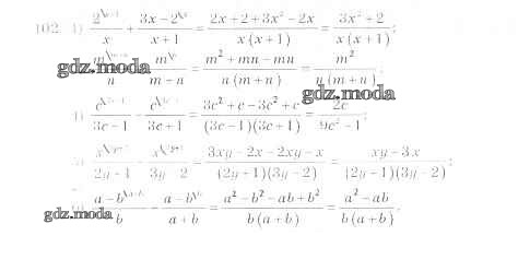
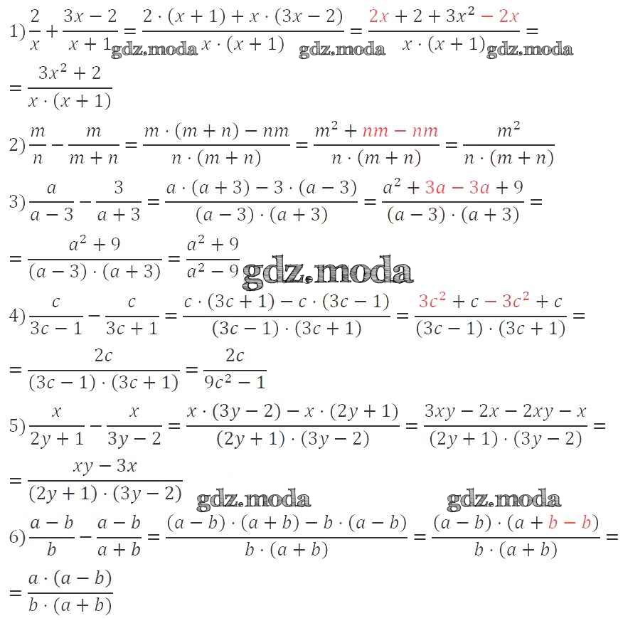
ОТВЕТ на задание № 102 Учебник по Алгебре 8 класс Мерзляк Алгоритм успеха
Решебник №1
глава 1 / §4 / 102

Решебник №2
глава 1 / §4 / 102

Решебник №3
глава 1 / §4 / 102

Решебник №4
глава 1 / §4 / 102

Решебник №5
глава 1 / §4 / 102

Решебник №6
глава 1 / §4 / 102

Все ГДЗ по Алгебре 8 класс Алгоритм успеха