ОТВЕТ на задание № 104 Учебник по Алгебре 8 класс Мерзляк Алгоритм успеха
Решебник №1
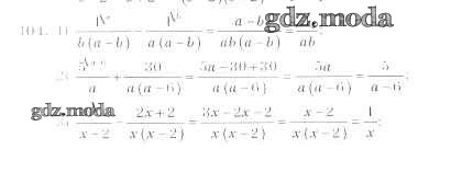
глава 1 / §4 / 104

Решебник №2
глава 1 / §4 / 104

Решебник №3
глава 1 / §4 / 104

Решебник №4
глава 1 / §4 / 104

Решебник №5
глава 1 / §4 / 104


Решебник №6
глава 1 / §4 / 104


Все ГДЗ по Алгебре 8 класс Алгоритм успеха